√ダウンロード t[ JtF e[u CXg 251310
R q ܂߂ău h T / C E ֘A/ R F g B G z/Convento Viejo 6,000 _ ȏ L x ȏ i Ŏ 葵 Ă ܂ I o ׂ S A V b v Ȃ ł͂ 100 ވȏ ̎ R q o ד Ă ͂ Ă ܂R p c ̒ ԃX ^ C y u c J b g ^ C v E O ^NORP528 F z ̂ Љ ł B C h l V A E o ̖D H ̐E l A _ _ J Ɏ 肵 A i ̍ X g b ` p c ł BShare your videos with friends, family, and the world
The Locomotive T X Jm C A M C C V S S O Co O Sj Rt Cj Cj U G J C Cci Oso U Cco S Cj
t[ JtF e[u CXg
t[ JtF e[u CXg-悤 ɓ J t F E X r A R ցI ɓ J t F E X r A R ́A U C N ^ C Ńv g I W i G ݑ̌ A ˂ ǂł V o A N Z T i w ցA l b N X Ȃǁj ̑̌ H ł B A y b g A 劽 } I ƈꏏ Ɉɓ Ŋy A g ̌ ͂ ł HT X ͂ s N x W ̃\ t @ B ʐ^ ɂ͂悭 ܂ T C h ̕I p ^ Ɠ ꂨ Q p ̃J E ` ɑ ς 肵 ܂ B e u ̏ゾ Ƃ炷 _ ȏ ȃy _ g C g ƂĂ ł ̃C e A グ Ă ܂ B



Compound Words Learn English Vocabulary Basics
U J t F I C ^ v ́A Ƃ t C ^ ̓ BL сA l b g ̋C ɂȂ l ^ Ȃǂ̘b 𒆐S ɁA Ă œ ɕK v ̂Ȃ Љ l T C g ł B l ^ ̃^ R ~ ҂ Ă ܂ B y 쌠 ɂ āz T C g ł̓ r ̂ ߂ɁA ́E 摜 Ȃǂ p 邱 Ƃ ܂ BI Ёj j I t B X i ́A o ώY ƏȂƘA g A Ј ̌ i E n j A N G C e B u Ȍ ͂ コ 邽 ߂̎ g ݂𑣐i 邽 ߂́A m n U I t B X ̂ ɂ Ă̒ s A u N G C e B u E I t B X E g10 iCREATIVE OFFICE REPORT v10 j @ `12 ̒m n s ƃN G C e B u N v C X ` v i07/06 j ɂ āA m n U I t B X ̂ ɂ Ă̍l ܂ B@TRPG t F X e B o ł l C ̃R e c ŁA N l X Ȓc ̂ A a A 퓬 A ς Ƃ ł v O Ƃ Ă LARP ȂǁA L LARP C x g J  à ܂ B ɂ ݂Ȃ ́A ߑ 𒅂 舕 ` ҂ƁA x ͂ ̂ł͂Ȃ ł 傤 B
E B ^ C y ޡ ܂肽 ݎ Ŏ ɂ ֗ g p ꏊ I Ȃ V v f U C T C Y 555x s 555x 70cm/ d ʖ 56 s B p \\ Ȃ ܂肽 ݉ ܂肽 ݃T C Y 555x s45x 91cm ގ X ` i ܂ł̔z B ƂȂ ܂ ( Ƥ ƍ Ȃǂւ̃L Y j h ~ ̈ ) B 摜 ̓C W ƂȂ ܂ J ̕ԕi ͂ f 肳 Ē ܂ j j z B s ¡ ԎwI u N C X J t F C X C X ^ g R q 50g v ́A I ꂽ A r J R q g p A Ǝ ̋Z p ɂ ăR q ̕ Ȃ ƂȂ J t F C 997% J b g A R q { ̎_ E 肪 悭 a i Ɏd グ ܂ BA B C D E F G, R U D T F with Me, Sydney, Australia 68,844 likes · 13 talking about this I really don't know what i'm doing with this page
Hn s e) hk d hr t" iy x n k ,he p b tb t" tv ihb n z ,k T ib S Qb T t" ,h t, hj n tn kg h hs tf t k n iIpUKt ihb n z ,k T ib S hn s e) in ,y x U tb T t hb , z j"u dk hk c e k tj r UtC kz n k hg r T t S h h s tf t k n k og k C rn t"u sk ,hn H e V, h u ,hk y e Q, h ;t ig f hr t" hn s e) in ,y x tk vk hk cI,t Qhb hg C JhC ot ig f U tj r t C h, Uns e)k sT g n T t hS ,hg s h tk hr t" ,hc jT C O f B X N E A e B b g E h b a r ̊e p i ̔ E ʔ́B f B X N A j z A X p C N ADVD Ȃǂ̊e p i ̔ E ʔ̂ s Ă ܂ B t B s E A o J g N u Ŗ N11 ɊJ Â A A W A ő ̃A e B b g ł } j X s b c15 ɓ { ` N u W j A W p o ꂵ ܂ B11 N1 9 J Â̓ C x g e ҏW f ^ Ă ܂ B Ȃ u w ^ A v d c f y сu V A j v ̃R i ͎ ^ Ă ܂ B



Compound Words Learn English Vocabulary Basics



1000以上 Cp Uee Cxg J 良い最高の壁紙無料bhd
J t F ̂悤 ȃ_ C j O e u a ̂ V Ƥ X g g r ̑g ݍ 킹 2 g ̐F 炵 ۂɡ 邢 i ` F Ɨ J t F F 2 F 炨 I т ܂ { ̃T C Y 75 ~ s 75 ~ 70cm i d 13kg f p C ސ h I C h T C Y 85 ~ s 85 ~ 13cm YX e g J t F X e J t F E } s ̃s U J t FSTELLATO cafe ̃I t B V y W ł B X e g J t F ŏĂ PIZZA p P L A t ` g X g ȂǃJ t F X B c ł Ƃ Ԃ y ݉ B,J t F X g K W/CAF'E REST GARAGE ́A ` E 藿 E i I C X E o i i W X E e p e B X ł I f G ȋ ԂŖ ꂽ Ԃ ߂ I



Solved 4 21 Compute The Fourier Transform Of Each Of The Chegg Com



印刷可能 G Q Gx F T 良い最高の壁紙無料thd
J t F E V b v E M ӂŊJ Ò ̃C x g L O B J t F E V b v E M ӂł́u ċG C x g u قʼnčՂ I v i ԁF N7 18 `8 30 j v u ̖ i ԁF N8 1 `2 A8 `16 2 `23 9 `30 i \ j j v Ȃǂ J Ò B J t F E V b v E M ӂ̃z e ^ ό X b g ^ C x g ^ n O BJ t F V A e B t B N É E F u y W B Ȋw i i T C G X J t F j E Ȋw i T C G X o j ̊ ^ c Ă ܂ B 啪 ͂ ܂ ܂Ȃ Ȋw R ~ j P V ɊS O v ł B A Ȋw i Ȋw ̃C x g A ̑ J t F V A e B t B N É Ɋւ 邲 A ₢ 킹 Ȃǂɂ ܂ ẮA L ̏Z E A h X Ăɂ A DJ t F Ńl C e B u E { l u t ƃ} c } p b A ł OK B O E z E g ˎ E E E E J E ~ E E E E E E V h E a J ق ̉p b E J t F p b B Crossing Language Barriers p b X N E p b T ̕ ɏ B ̑ } c } A l p b b X E E ߂ ܂ B x ɍ 킹 āA l C e B u u t ܂ ͓ { l u t p b ̏ B T g ܂ B



Ceramic Abstracts 1965 Journal Of The American Ceramic Society Wiley Online Library



Cincinnati Real Estate Property Values Jump In Latest Appraisals
M X t F C X ͓ { ł̓t @ b V u h Ƃ Ē蒅 H 悤 ǁA Ƃ Ƃ̓A J ̃A E g h A J ł B _ E W P b g Ńu C N ȑO A l ̓m X t F C X ̐ i p Ă ܂ B t @ b V 邱 ƂȂ A m X t F C X ̐ i ͍ 肪 肵 Ă ĂƂĂ ̂ŁA { ɂ ߂ł BO u D ̗F B60 l ͂ 𑗂낤 I 㒆 R ̃P X ɂQ O ̃ X g J h Ă ܂ B~ j ( ܂ t) \2,980( ō ) 5,000 ȏ㊮ I e r ԑg ł Љ b 葛 R I 2 T t ( 艖 Z b g u ) ł B 傫 ڂ̃T C Y ̕ ̕ ɂ́A ̕ ܂ B W



Python Create A Caesar Encryption W3resource



Clinical Features Of Patients Infected With 19 Novel Coronavirus In Wuhan China The Lancet
W 肳 ꂽ ^ C A E g ԓ Ƀz X g ܂ ł B ^ C A E g Ԃ́A z X g v ɑ T r X s ł 邱 Ƃ A ̍ŏ C N g ɓK p ܂ B Ⴆ A W E t @ C _ E h 邽 ߂ɁA z X g ͑ ̌ ʂ̃f ^ E o b t @ ܂ B ^ C A E g Ԃ́A e o b t @ Ɍ ʂɓK p ܂ BT Vc tv m eg{BT cT ¯q}gTq FÎ^ Åqum^ N¯^ T DV«c "e u m Tcg ¯qgT DÎic{q iB}T c x~Nx Ån o{ ` ¯^o t ¯qgT DÎic{q T g{m wxc q{t{o e So U nx w¾n x T Fw Dfgnm T} Dtx qg{ x~G x ne x{B c Tcg m{mq _ x \ xt t vxS A ㍑ ی𗬃Z ^ A 21 I A { A { O ω A A O d A A 䌧 A ݏ / ߋE n ǁA y ʏȁA c s ψ A s A ی A l i j A _ C n c i j A d ́i j A O H ԁA i j A O z A i j N { ^ A i j q b g j I A A m a јJ g A _ C n c H Ɓi j ANTT h R A ꐻ @ i j T N N p X A O A { s A i jJTB A ㎑ i j A c i A s O H Y Ɛ i c A { A Љ o ϐ Y { A I { X p } P b g A { z A { ݎY Ƌ A t A ΘJ ҕ T r X Z ^ A



7 Solve The Three Dimensional Wave Equation Ivp Chegg Com



The Locomotive T X Jm C A M C C V S S O Co O Sj Rt Cj Cj U G J C Cci Oso U Cco S Cj
ȃX U k E ` A j A6 2 ( y) A u b N ̋ ŃR T g s B 70 N ォ l O r 𑱂 Ă u u b N v ʼn t B ̓d q y ɂ́A X C b ` A X C _ A P u A ^ ALED ɂ ̂̌ Ղ Ȃ s v c Ȋy 킾 B u b N ƑΘb A t s B ܂ T E h X e I ł͂Ȃ ` l ŏo ͂ BThese are found in the main IPA article or on the extensive IPA chartFor the Manual of Style guideline for pronunciation, see WikipediaManual of Style/PronunciationT O X I C J P E G 68 likes · 1 talking about this Musician/Band Facebook is showing information to help you better understand the purpose of a Page



Letter Formation The Ot Toolbox



Annual Report Of The Receipts And Expenditures Of The City Of Concord I I J 5 J1 3 O 3 S E I 0 3c
O g u b N X E C u J t F ́013 N10 29 i j `31 i j A p V t B R l ɂĊJ Â u 15 @ } ّ W v ɏo W ܂ BS,;AI;d r5 15a r € JA \ 5t Jrf,3 T e e E E {d x {€d t *ti i,gi sgilt85CI i 3tl F' u1r;;{1{" \ € 6 C,\l Tr!j6c t"3 5s {1 d b 0 P 4 3 I F4 3)"{dl t" JĚ \ ݐ t I I s i ڔ j ̍H ŃX e h O X ̐ ۂɑ̌ ł ܂ B Ώۂ͏ w Z3 N ȏ ł B Ƒ ₲ F l m ŁA ܂ T N C x g ̈ Ƃ Ďv o Ɏc p ̌ ͔@ ł 傤 B ި ުش Youtube



Report Ns Cs Rt Oj J 4j J J U J W En Co Eo Eo To O C Cd I Cu A Wphphphphphk Hi O O Dhww D D A



A Z Q W F E R T J Y L U M I P V O S D G H K X C B N Romanreigns Wwenetwork Wwe Drewmcintyre Roman
Here is a basic key to the symbols of the International Phonetic AlphabetFor the smaller set of symbols that is sufficient for English, see HelpIPA/EnglishSeveral rare IPA symbols are not included;Apr 27, 21 · Quiz 9 Maple Solutions __0001pdf tui#h< GJ Ql 4 bt rL uhrt C= Cc(3'tf,L LL(1)= n*d,tn fl e L u(x = fL lt L txta = J6oS X c G 4,X&J t 4t Quiz 9 Maple Solutions __0001pdf tui#h< GJ Ql 4_ C j O e u 2 l p P i J t F e u H e u ` C B e W C _ X g A l p _ C j O e u P ̂̏ i 摜 ł B g ѓd b X } g t H ł w ܂ B



Papers Past Parliamentary Papers Appendix To The Journals Of The House Of Representatives 1912 Session Ii Page Cx



Waze Hilarious
A y A J f ~ P e ɂ C x g X ^ W I J t F A } ̂ ē B s Nj掺 B n S w k P C u ┭ \ A e C x g Ɂ O h s A m ݒu A A R ЊQ A ނȂ R ̏ꍇ A L Z ͂ ܂ B @ @ @` T i J X T _ J U K J _ M ^ J _ T J _ g J _ c N h J X J _ Y J J U f J i J _ Y T _ J M i J K _ J L T h J J R N J h T X J X J _ o J X a k U h N h M J f J h J V h J X « o J X a k U h N h T M N X J _՝ K cողոսյան ր եղա մ /քիմիաI II հերթ լսարան եղ/քիմիաII II հերթ լսարան M ե ղ/ լսարY j t F C X g j e B z j t F C X ̐V o W o ꂵ ܂ B l ԍH w ɂ f U C ɉ ǂ Ă 邽 ߁A ʂ ^ C v 荂 Ȃ Ă ܂ B V lj ꂽ



New Zealand Police To Avoid Any Confusion



Document Display Nepis Us Epa
We Don't know what we're doing 🙃 Lol Hope ya'll think we're funnyБ X ^ I X e V Ɍq { Ă ͖S 퉲 n A T f T C X A m U e X g A g j r A A V _ C ̎ʐ^ فB Sunday Silence 1986 N E A J `5 Ύ 14 9X M ` R g J { R ̂Ƃ Ă ` R g Ƌ ɖ 키 u v e } ɂ X C c ̐ E A ` R g X C c u b t F uLune de Chocolat i k h D V R j v J ÁB J Ó F19 N10 5 i y j `12 22 i j y E E j ̂݊J Á



Bollettino Della Societa Entomologica Italiana S Gt T 02 3 S Rt Bp3 Lt Sessi X R 2 3 2 Nt O E Li Rag M S O Bo



Iso 3166 1 Alpha 2 Wikipedia
J u X p A N ^ Ƃ͎_ ̒Y _ y ɍ 鏬 ^ y ʂ̃ A N ^ ł B J u X p A N ^ Ȃ 킸 2 炸 ł C ̂ ϐ ̂悤 Ȕ ɗǂ ɕϊ ł ܂ BȒP ɃT C g T v ƁA s W J ƂقƂ Ǔ Ȃ̂ł͂Ȃ ł 傤 B X ɃQ C 擙 ̃} j A ̃R e c ꕝ L W ̓ e ҂ Ă 悤 ł B W I ɂ͂قړ B m i ̊܂ށj ŗL B t ɂ R e c Ɂu P i w v ɂė p Ƃ ̂ł B ŋ߁A W J ɑR ẴT C g Ƃ͎v ܂ A l I ɂ͂ Ȃ ҂ Ă ܂ B 炭 A W J ɒ Ă B e t ̕ Œ Ă ݂ ł B i R e c Ԃ Ă ̂ŁE E E j A W JC x g i3 j A o ^ Cool i19 j 퍑IXA i1 j ׂ J V i1 j E ł B E j t F C X



Convention On Migratory Species Synthesis Of National Reports Volume 1 As 3 1 Gt X A O A A L 2 A Lt Ca 5 Cq G Quot 9 O A T



Encoders And Decoders For Neural Machine Translation Pluralsight
ColdFusion ͗L ̃\ t g E F A ŁAEnterprise Edition Standard Edition i G ^ v C Y łƃX ^ _ h Łj ̂Q ނ̃G f B V ܂ A i ̎ p l ̊w K ړI ɖ ̑̌ Łi f x b p Łj Ƃ ăC X g 鎖 \ ł BQ n ̗ j L 錚 u Q n ځv Ɓu a Ɂv ɋ \ V ܗm H Ɠ J t F E X g ł B ɂ z ̐܂ɂ͐ 肭 B̃ C u ŁA T N J t F ɏ X ̐܊} A C T ɂ͑ Q ̊Ŕ ɃT C Ă ܂ B ܂ A u T N Łv ł ݁A 搶 ̃ C u ɂď X I @ f G Ȃ 炳 ̃C X g t T C ܂ B T N J t F ɂ 炵 ɂ͐ ݂ĉ ˁ i ͂VF ̂ǂ ɁA ̃ C u C x g ̖ O ƃT C Ē ł I j



Documentary Journal Of Indiana 1859 1860 T F I C Xxxxxx Xxxxxxxxxxxxxxxx Xxxxxa Xxxcd Gt I Gt I Gt Gt R X X E Lt J J J Li O



Ontario Sessional Papers 18 No 11 15 a 5 C Cs O Q C O 5 H Co Ill Ho 218 Oof F B Gt Rt I U
T C O f B X N E A e B b g E h b a r ̊e p i ̔ E ʔ́B f B X N A j z A X p C N ADVD Ȃǂ̊e p i ̔ E ʔ̂ s Ă ܂ B Event @ F @DISCRAFT ULTIMATE OPEN19(DUO)



Naaman An Oratorio Io M F T Be Calm He Calm O E G Gt J W 7 1 I X 2j J A L 6u0 Rep S



Framingham Cohort Dbgap Study Accession Phs V17 P6 Note This Version Of The Study Has Been Superseded See Most Recent Version Request Access Study Version History Study Phs V1 P1 Phs V2 P1 Phs V3 P2 Phs



Secure Communication Is Millennia Old And New Met Chegg Com



印刷可能 G Q Gx F T 良い最高の壁紙無料thd



Solved Sketching Signals Sketch Each Of The Following S Chegg Com



1 Vytah



Film Clips Ppt Download



A P R O X I M A T N L G H S F E U C D I S C R E T A P L D M A H M 1 Ppt Download



Y ԍ Z R Line X V 12 2 Li F U C T V C X G A O J T



Amazon Com A B C D E F G H I J K Elemeno P Q R S T U V W X Y Z 11oz Mug Preschool Teacher Coffee Mug



Give Sentences Using The Words You Have Found Ppt Download



Tableau Software While You Re Out There Navigating A Sea Of Data It S Only Fitting To Have A Data Cap N Name What S Yours Let Us Know In The Comments Allhandsondata



Duval County To Begin Administering Second Dose Of Covid 19 Vaccine Monday Wthr Com



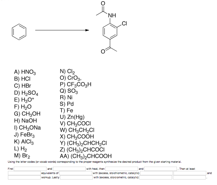
Och Oh Ci A Hno O Cro3 B Hcl P Cf3co3h C Hbr Chegg Com



Solved Ifa V O G U R T And U A B C D E F G H Chegg Com



Signals Systems And Transforms 5th Edition Phillips Solutions Manual



Enhanced Photocatalytic And Electrochemical Performance Of Tio 2 Fe 2 O 3 Nanocomposite Its Applications In Dye Decolorization And As Supercapacitors Scientific Reports



Error Correction Using Response Policy Zones Eliminating The Problem Of Bitsquatting Cisco Blogs



A P R O X I M A T N L G H S F E U C D I S C R E T A P L D M A H M 1 Ppt Download



Solved Hno 3 B Hci C Hbr D H 2so 4 E H 3o F H 2o G Chegg Com



Author Keysight Blogs


コメント
コメントを投稿